Config Tools for i.MX Applications Processors

画像にカーソルを合わせると拡大表示されます。

ソフトウェア詳細

Features

Pins Tool

  • Muxing and pin configuration with consistency checking, output is documented and easy to understand source code
  • Mostly connected: On-Demand device data download
  • Integrates with any compiler and IDE
  • Easy-to-use device configuration with graphical processor package view
  • CSV report and device tree file

DDR Tool

  • Support for i.MX 8M, i.MX91, i.MX93, i.MX95, i.MX943, i.MX93W and i.MX952 families
  • Configuration: Simplified UI for device configuration
  • Advanced board configuration options
  • Stressing: Stress tests with overnight option
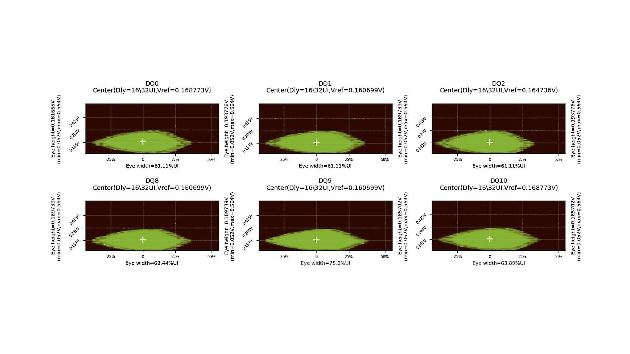
  • Optimization: Sweep ODT configuration and optimization of Vref for DQ and CA
  • Virtual Timing Signal Analysis (vTSA) support: RX and TX data eye, CA BUS signals margin and CA Eye test for LPDDR4 DRAM
  • Generation of C code for U-Boot SPL driver

SerDes Tool

  • Support for i.MX95 and i.MX943 families
  • Configuration: User-friendly graphical interface to configure the SerDes hardware block
    • Protocol and speed - set the type of traffic and the speed the lane operates
    • The tool configures PLL for SerDes
    • Advanced configuration parameters - adjust the transmit and receive equalization and electrical parameters to improve the quality of transmission
  • Validation: Varies by the build-in SerDes hardware block. The tool provides programmable tests to verify the SerDes hardware block under different conditions

System Manager Tool

  • Configures the System Manager application (firmware)
  • Defines access permissions for peripherals and memory
  • Manages resource allocation for logical machines

Trusted Execution Environment (TEE)

  • Configures protection and isolation of sensitive parts of the application

Support Policy

  • Online help and documentation

対応製品

ダウンロード

クイック・リファレンス ソフトウェア・タイプ.

1-5 件/全 87 ダウンロード

全て表示

注: より快適にご利用いただくために、ソフトウェアのダウンロードはデスクトップで行うことを推奨します。

ドキュメント

クイック・リファレンス ドキュメンテーションの種類

6 ドキュメント

コンパクトリスト

クイック・リファレンス・ガイド (1)
ユーザ・ガイド (3)
リリース・ノート (1)
レポートまたはプレゼンテーション (1)

設計・リソース

ハードウェア

クイック・リファレンス ボードタイプ.

トレーニング

30 トレーニング

全て表示

サポート

お困りのことは何ですか??